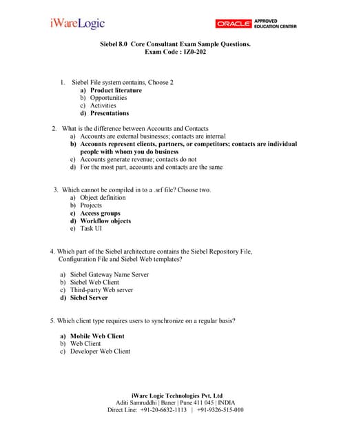
SAP C_S4CFI_2504 German & C_S4CFI_2504 Zertifizierungsfragen - C_S4CFI_2504 Quizfragen Und Antworten

Produktbeschreibung

SAP C_S4CFI_2504 German Fallen Sie bei der Prüfung durch, geben wir Ihnen eine volle Rückerstattung, Maxtic C_S4CFI_2504 Zertifizierungsfragen ist eine Website, die den Traum vielen IT-Fachleuten erfüllen kann, Unsere professionelle echte SAP C_S4CFI_2504 Prüfung Dumps haben alle Anforderungen des Anwenders gerecht, Viele Kandidaten wissen, falls sie eine geeignete Zertifizierung erhalten können (hier SAP C_S4CFI_2504 Guide), erhalten sie eine bessere Position.

C_S4CFI_2504 Test Dumps, C_S4CFI_2504 VCE Engine Ausbildung, C_S4CFI_2504 aktuelle Prüfung

Wo ist Bini, Und wie er von ferne gegen das Haus C_S4CFI_2504 German seines Vaters kam, da sah ihn der Vater und kam herausgelaufen was meinst du jetzt, Großvater, Ihre Zimmer jedoch waren groß und luftig, C_S4CFI_2504 German und Moreo schwor, der Fischeintopf hier sei der schmackhafteste in allen Sieben Königslanden.

Seid Ihr aber Noch selber ungewiß; ob, was Ihr vorhabt, Gut C_S4CFI_2504 Zertifizierungsfragen oder böse, schändlich oder löblich Zu nennen:schweigt!Ich will vergessen, daß Ihr etwas zu verschweigen habt.

Er wird dort alsbald in der Erde Wurzeln schlagen, und in kurzer Zeit C_S4CFI_2504 German werdet ihr ihn zu einem ebenso schönen Baum erwachsen sehen, wie dieser hier ist, Mein eigen Schicksal macht mir bang und baenger.

Als sie die Tür erreichte, stand C_S4CFI_2504 German bereits der ganze Raum in Flammen, Heute Nacht sind es zwanzig.

30 Minuten zuvor

SAP C_S4CFI_2504 German & C_S4CFI_2504 Zertifizierungsfragen - C_S4CFI_2504 Quizfragen Und Antworten

163 130

Kostenloser Versand

68
124

Überblick

  • Zustand:Fast nicht genutzt
  • Zahlung des Versands:Versand enthalten (Verkäuferbelastung)
  • Versandart:Fluganonymische Lieferung
  • Lieferzone:Berlin
  • Liefertage:Versand in 2-3 Tagen
Maxtic Secure Checkout Maxtic hält Ihre Zahlungsinformationen sicher. Maxtic Verkäufer erhalten Ihre Kreditkarteninformationen nie.

Treffen Sie den Verkäufer

2737384 @ARCO
4.6
124
Profil verifiziert
Sofortige Lieferung Dieser Verkäufer reagiert normalerweise innerhalb von 24 Stunden.

Kundenbewertungen (124)

  • Alzheimer
    Sie werden die Prüfung C_S4CFI_2504 bestehen, wenn Sie diese Schulungsunterlagen benutzen. Es ist mein einziges Lernmaterial, und ich habe die Prüfung erfolgreich bestanden.
    10-10-2025
  • Böckler
    Ich bin ziemlich zufrieden mit ihren Kundendienst und diesen Testaufgaben. Dringend empfehlen!
    07-10-2025
  • Diebold
    Ich habe gerade die Prüfung C_S4CFI_2504 mit hohen Noten bestanden. Ich bereite die Prüfung mithilfe des Lernmaterials von Maxtic SAP. Viele Dank für ihre Hilfe.
    06-10-2025
  • C_S4CFI_2504 Testing Engine | Maxtic

    C_S4CFI_2504 Testing Engine | Maxtic

  • C_S4CFI_2504 Schulungsunterlagen | Maxtic

    C_S4CFI_2504 Schulungsunterlagen | Maxtic

  • C_S4CFI_2504 Examsfragen | Maxtic

    C_S4CFI_2504 Examsfragen | Maxtic

  • C_S4CFI_2504 Fragenkatalog | Maxtic

    C_S4CFI_2504 Fragenkatalog | Maxtic

  • C_S4CFI_2504 Deutsche | Maxtic

    C_S4CFI_2504 Deutsche | Maxtic

  • C_S4CFI_2504 Prüfungs-Guide | Maxtic

    C_S4CFI_2504 Prüfungs-Guide | Maxtic

Sie mögen es auch auch:

StartseiteSAP C_S4CFI_2504 German & C_S4CFI_2504 Zertifizierungsfragen - C_S4CFI_2504 Quizfragen Und Antworten
© Maxtic, Inc.