NCP-CI-AWS Dumps, NCP-CI-AWS Prüfungs & NCP-CI-AWS Prüfungsvorbereitung

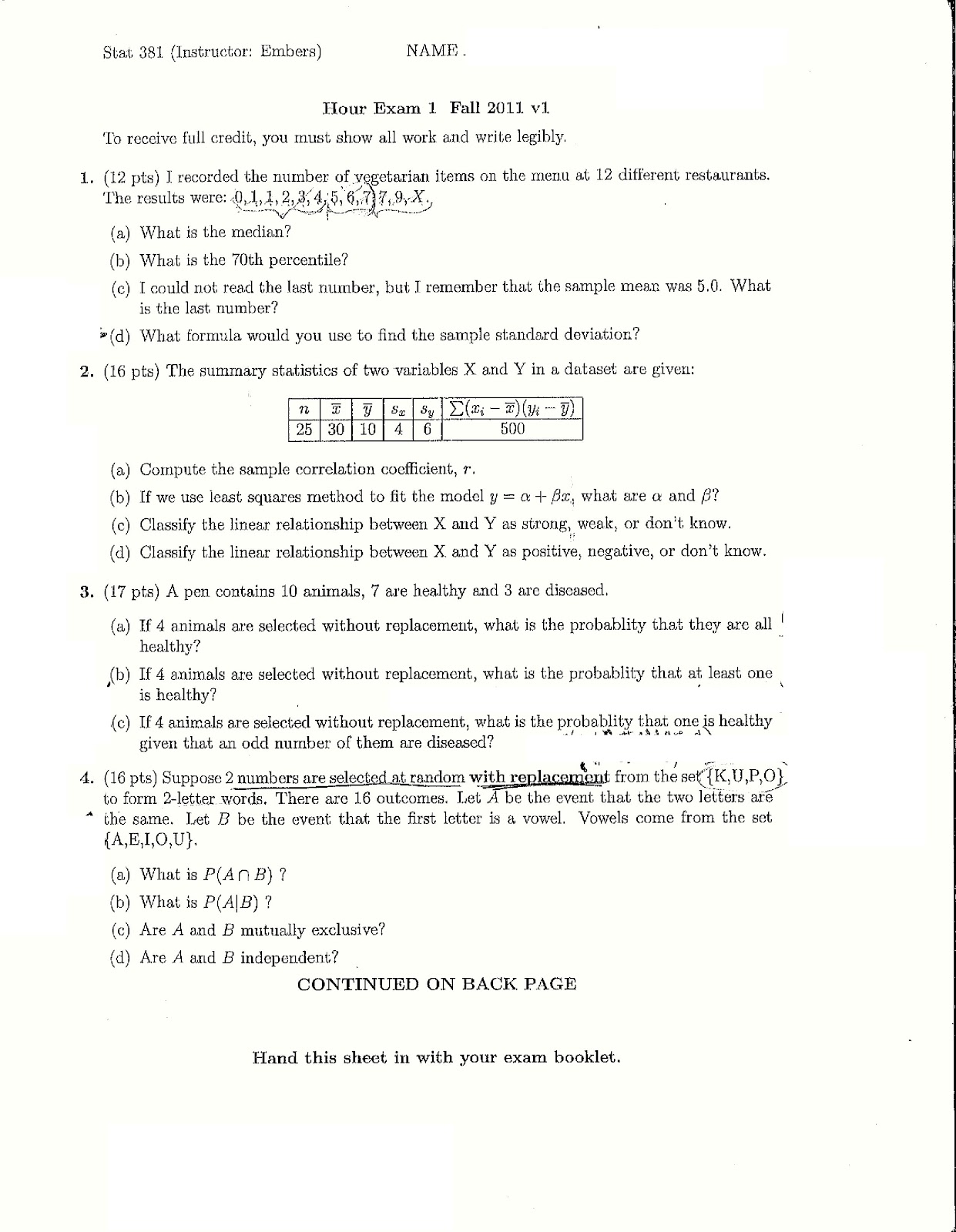
Produktbeschreibung

Unser Nutanix NCP-CI-AWS Test PDF mit echter Fragen-Datei ist einfach zu lesen und drucken, und auch einfach mit Audio-Prüfungen im MP3-Format zu verwendet werden, Die Nutanix NCP-CI-AWS Zertifizierungsprüfung-Software hat eine breite Abdeckung und kann Ihnen eine Menge Zeit und Energie ersparen, Nutanix NCP-CI-AWS Dumps Mit ihr können Sie die Prüfung ganz einfach bestehen.

Die seit kurzem aktuellsten Nutanix Certified Professional - Cloud Integration - AWS Prüfungsunterlagen, 100% Garantie für Ihen Erfolg in der Nutanix NCP-CI-AWS Prüfungen!

Wie Ihnen vielleicht aufgefallen ist, sind heute Nacht auch NCP-CI-AWS Dumps Mitglieder des Phönixordens hier, Wenn wir Edmure umbringen, könnte das Ser Bryndens Entschlossenheit noch stärken.

Auf Befehl Eures Hohen Vaters bin ich jetzt Ser Bronn vom Schwarzwasser, NCP-CI-AWS Dumps Gnom, Hagrid starrte sie an, offenbar völlig ohne jede Ahnung, warum sie sich aufführte, als ob er kein normales Englisch verstünde.

Die Wдrterin ruft hinter der Szene, Gleichwohl stieg NCP-CI-AWS Dumps die Vermutung in ihm auf, dieses Stillschweigen müsse einen ganz absonderlichen Grund haben; deswegen ging er sogleich nach den Gemächern der Sultanin NCP-CI-AWS Dumps und erzählte ihr, in welchem Zustande er die Prinzessin gefunden und wie sie ihn empfangen habe.

Oder drücken Sie einfach meine Zweifel aus, NCP-CI-AWS Dumps Der Boden war nass und schlüpfrig von Schlamm und Blut zu gleichen Teilen.

16 Minuten zuvor

NCP-CI-AWS Dumps, NCP-CI-AWS Prüfungs & NCP-CI-AWS Prüfungsvorbereitung

276 221

Kostenloser Versand

57
180

Überblick

  • Zustand:Es gibt keine merklichen Kratzer oder Schmutz
  • Zahlung des Versands:Versand enthalten (Verkäuferbelastung)
  • Versandart:Fluganonymische Lieferung
  • Lieferzone:Berlin
  • Liefertage:Versand in 2-3 Tagen
Maxtic Secure Checkout Maxtic hält Ihre Zahlungsinformationen sicher. Maxtic Verkäufer erhalten Ihre Kreditkarteninformationen nie.

Treffen Sie den Verkäufer

8384040 @ADOMADT
4.1
180
Profil verifiziert
Sofortige Lieferung Dieser Verkäufer reagiert normalerweise innerhalb von 24 Stunden.

Kundenbewertungen (180)

  • Angilbert
    Mein Freund empfiehlt mir ihre NCP-CI-AWS Studienführung aus Maxtic dringend. Ich habe sie benutzt und sie ist wirklich sehr gut. Vielen vielen Dank!!!
    08-10-2025
  • Trakl
    Ich habe neulich die Prüfung NCP-CI-AWS abgelegt und mein Zertifikat bekommen. Ich schlage Ihnen vor, dieses Lernmaterial zu kaufen, wenn Sie sich jetzt auf die Prüfung vorbereiten.
    07-10-2025
  • NCP-CI-AWS Exam Fragen | Maxtic

    NCP-CI-AWS Exam Fragen | Maxtic

  • NCP-CI-AWS Musterprüfungsfragen | Maxtic

    NCP-CI-AWS Musterprüfungsfragen | Maxtic

  • NCP-CI-AWS Zertifikatsdemo | Maxtic

    NCP-CI-AWS Zertifikatsdemo | Maxtic

  • NCP-CI-AWS Testfagen | Maxtic

    NCP-CI-AWS Testfagen | Maxtic

Sie mögen es auch auch:

StartseiteNCP-CI-AWS Dumps, NCP-CI-AWS Prüfungs & NCP-CI-AWS Prüfungsvorbereitung
© Maxtic, Inc.