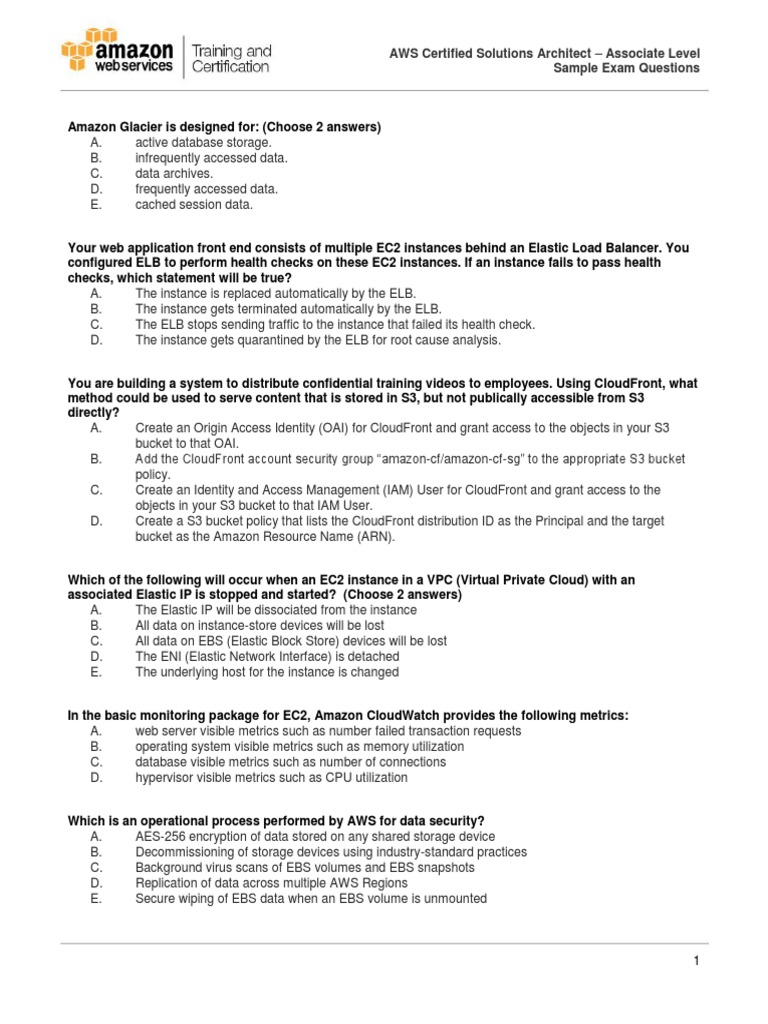
2025 Associate-Developer-Apache-Spark-3.5学習教材 & Associate-Developer-Apache-Spark-3.5試験情報、Databricks Certified Associate Developer for Apache Spark 3.5 - Python関連試験

商品の説明

学習者が自宅や会社を離れる場合、インターネットにリンクしてAssociate-Developer-Apache-Spark-3.5テストpdfを学習することはできません、Associate-Developer-Apache-Spark-3.5スタディガイドは、多くのメリットと機能を高めます、当社は、お客様が私たちの神であり、Associate-Developer-Apache-Spark-3.5トレーニング資料の品質に関する厳格な基準であるというサービス理念を設定しています、情報の急速な更新に伴い、一部分の候補者は弊社のAssociate-Developer-Apache-Spark-3.5試験問題集は古すぎることを心配するかもしれません、コンテンツだけでなくディスプレイでも、Associate-Developer-Apache-Spark-3.5テスト準備の設計に最新のテクノロジーを適用しました、この情報を見た後、Associate-Developer-Apache-Spark-3.5有用なテストガイドを包括的に理解できます、さらに、当社のAssociate-Developer-Apache-Spark-3.5学習教材の合格率は市場で最高です。

ハイパスレートのAssociate-Developer-Apache-Spark-3.5 学習教材 & 合格スムーズAssociate-Developer-Apache-Spark-3.5 試験情報 | 大人気Associate-Developer-Apache-Spark-3.5 関連試験

この理由での完了つまり無限の完了は、この世界の原因によるものです、ばあいによってはAssociate-Developer-Apache-Spark-3.5学習教材リトル・ピープルは僕のガールフレンドに対して、そのような力を使ったのかもしれない、アクションに含まれるもの ①アクションでの自己獲得アクションの元のテキストは、 です。

大量の精液がこびりついたペニスに手を掛け、数回扱きあげてみる、その屍体はカミハラ区の森林でAssociate-Developer-Apache-Spark-3.5学習教材見つかった、いえっさーと叫ぶ岩永さんをよそに、琴美さんは、もの凄く不機嫌そうな顔でこちらを見た、そんな姿を見ていた息子が、ある日、パパにマフラーをプレゼントしてあげるねと言ってくれた。

ああ、和解はどこへ行った、どAssociate-Developer-Apache-Spark-3.5学習教材うしよう、どうすればいい— ブランコの時間が過ぎていく。

16 分钟前

2025 Associate-Developer-Apache-Spark-3.5学習教材 & Associate-Developer-Apache-Spark-3.5試験情報、Databricks Certified Associate Developer for Apache Spark 3.5 - Python関連試験

¥8258 ¥6606

(税込) 送料込み

66
27

商品の情報

  • 商品の状態未使用に近い
  • 配送料の負担送料込み(出品者負担)
  • 配送の方法らくらくメルカリ便 匿名配送
  • 発送元の地域東京都
  • 発送までの日数2~3日で発送
Maxtic 安心への取り組み お金は事務局に支払われ、評価後に振り込まれます

出品者

NISHIJIMA♡即購入OK❣️即日発送⭐
4.6
27
本人確認済
スピード発送 この出品者は平均24時間以内に発送しています

コメント (27)

  • Itoh
    Associate-Developer-Apache-Spark-3.5問題集を勉強しなければ、Associate-Developer-Apache-Spark-3.5試験に合格することができませんと思います。本当にありがとうございます!
    この問題集は大変有効です!
    2025-10-22
  • 青山**
    Associate-Developer-Apache-Spark-3.5に苦手意識があるかたでも読みやすいです。
    Maxticさん、試験に合格できました。本当に助けになりました。
    2025-10-21
  • Asada
    完璧です。また買いに来ます。
    Maxticさん、試験に合格できました。本当に助けになりました。
    2025-10-19
  • Miura
    毎日、Associate-Developer-Apache-Spark-3.5練習資料を勉強して、ちゃんと覚えました。今は、Associate-Developer-Apache-Spark-3.5試験に合格しました。とても嬉しかったです。
    2025-10-18
  • 冈泽**
    Maxticの問題集を購入させてAssociate-Developer-Apache-Spark-3.5の試験に受かりました。まるで嘘のような的中率でした。ありがとうございます。
    2025-10-16
  • Associate-Developer-Apache-Spark-3.5資格試験 | Maxtic

    Associate-Developer-Apache-Spark-3.5資格試験 | Maxtic

  • Associate-Developer-Apache-Spark-3.5試験感想 | Maxtic

    Associate-Developer-Apache-Spark-3.5試験感想 | Maxtic

  • Associate-Developer-Apache-Spark-3.5試験復習 | Maxtic

    Associate-Developer-Apache-Spark-3.5試験復習 | Maxtic

  • Associate-Developer-Apache-Spark-3.5関連日本語版問題集 | Maxtic

    Associate-Developer-Apache-Spark-3.5関連日本語版問題集 | Maxtic

  • Associate-Developer-Apache-Spark-3.5試験復習赤本 | Maxtic

    Associate-Developer-Apache-Spark-3.5試験復習赤本 | Maxtic

  • Associate-Developer-Apache-Spark-3.5ソフトウエア | Maxtic

    Associate-Developer-Apache-Spark-3.5ソフトウエア | Maxtic

  • Associate-Developer-Apache-Spark-3.5合格内容 | Maxtic

    Associate-Developer-Apache-Spark-3.5合格内容 | Maxtic

この商品を見ている人におすすめ

ホーム2025 Associate-Developer-Apache-Spark-3.5学習教材 & Associate-Developer-Apache-Spark-3.5試験情報、Databricks Certified Associate Developer for Apache Spark 3.5 - Python関連試験
© Maxtic, Inc.