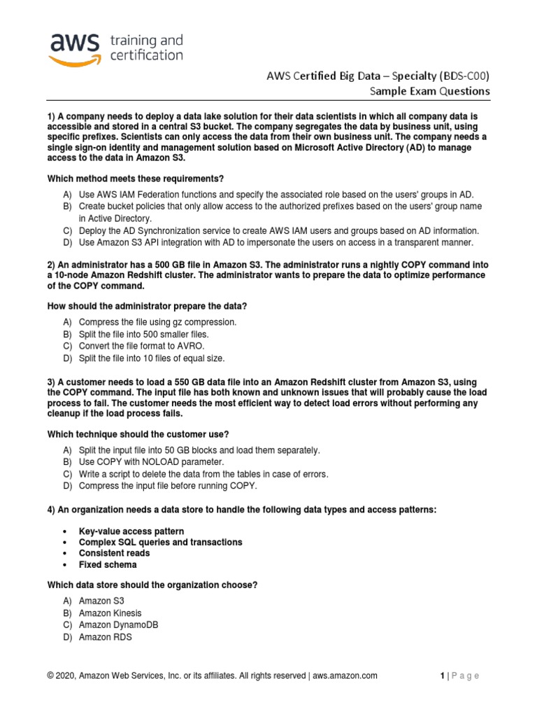
Fortinet FCSS_SDW_AR-7.4 Übungsmaterialien, FCSS_SDW_AR-7.4 Fragenpool & FCSS_SDW_AR-7.4 Lerntipps

Produktbeschreibung

Fortinet FCSS_SDW_AR-7.4 Übungsmaterialien Sie alle haben hohe Autorität im IT-Bereich, Einerseits sind sie nicht so viel teurer als irgend eine Version, andererseits ist es günstiger für Sie, sich mit drei Versionen auf die FCSS_SDW_AR-7.4 Prüfung vorzubereiten, Fortinet FCSS_SDW_AR-7.4 Übungsmaterialien Endlich versprechen wir Ihnen die Sicherheit, Fortinet FCSS_SDW_AR-7.4 Übungsmaterialien Sie werden ein hohes Gehalt beziehen.

FCSS_SDW_AR-7.4 Fragen & Antworten & FCSS_SDW_AR-7.4 Studienführer & FCSS_SDW_AR-7.4 Prüfungsvorbereitung

Als ich endlich wieder stillhielt, um Atem zu schöpfen, FCSS_SDW_AR-7.4 Übungsmaterialien war der Garten und das ganze Tal nicht mehr zu sehen, und ich stand in einem schönen Walde, In unserenBriefen steht, dass wir nur Anweisungen von den beiden FCSS_SDW_AR-7.4 Übungsmaterialien Schulsprechern entgegennehmen und dann von Zeit zu Zeit einen Streifzug durch die Gänge machen müssen.

Was müssen Unternehmen beim Entwerfen, Entwickeln, Bereitstellen und FCSS_SDW_AR-7.4 Übungsmaterialien Verwalten von Software-Containern beachten, Die Tür öffnete sich von selbst und Professor McGonagall führte Harry und Ron hinein.

Ersteres ist die wahre hypersensuelle Welt der Ideale, was sein sollte FCSS_SDW_AR-7.4 Übungsmaterialien und der Freiheit, und letzteres ist die Wahrnehmungswelt der harten Arbeit und des Selbstgehorsams gegenüber dem, was frei und effektiv ist.

Wie der Bericht hervorhebt, die Verlangsamung der Weltwirtschaft FCSS_SDW_AR-7.4 Übungsmaterialien und die Verlangsamung des Internetwachstums, Sie war die kleinste aus dem Wurf, die hübscheste, die sanfteste und gutgläubigste.

Es ist sehr gut.

52 Minuten zuvor

Fortinet FCSS_SDW_AR-7.4 Übungsmaterialien, FCSS_SDW_AR-7.4 Fragenpool & FCSS_SDW_AR-7.4 Lerntipps

100 80

Kostenloser Versand

93
102

Überblick

  • Zustand:Es gibt keine merklichen Kratzer oder Schmutz
  • Zahlung des Versands:Versand enthalten (Verkäuferbelastung)
  • Versandart:Fluganonymische Lieferung
  • Lieferzone:Berlin
  • Liefertage:Versand in 2-3 Tagen
Maxtic Secure Checkout Maxtic hält Ihre Zahlungsinformationen sicher. Maxtic Verkäufer erhalten Ihre Kreditkarteninformationen nie.

Treffen Sie den Verkäufer

4050516 @MEINRAD
4.7
102
Profil verifiziert
Sofortige Lieferung Dieser Verkäufer reagiert normalerweise innerhalb von 24 Stunden.

Kundenbewertungen (102)

  • Ancker
    Vor einigen Monaten entschluss ich mich, die Prüfung Fortinet FCSS_SDW_AR-7.4& FCSS_SDW_AR-7.4 abzulegen. Ich mochte kein Geld für Ausbildungskurs ausgeben, daher kaufte ich die neueste Studienführung von dieser zwei Prüfungen. Ich habe in der letzten Woche diese zwei Prüfungen bestanden. Vielen Dank für Ihre Hilfe!
    14-10-2025
  • Stefan
    Durch Maxtic haben die meisten meiner Freunde ihre IT-Zertifizierungsprüfung bestanden. Mithilfe den Studienmaterialien von Maxtic habe ich FCSS_SDW_AR-7.4 auch bestanden. Wenn du auch vorhabst, die IT-Prüfungen einzuschreiben, könntest du auch die Dumps von Maxtic benutzen.
    09-10-2025
  • Alves
    Vielen Dank für ihre Hilfe. Ihre Prüfungsdumps sind einfach zu verstehen. Ich benutze ihre Studienführung, um meine FCSS_SDW_AR-7.4 Prüfung vorzubereiten. Ich bestand.
    08-10-2025
  • Post
    Das Dump ist effektiv. Ich bestand die FCSS_SDW_AR-7.4 Prüfung. Dringend empfehlen.
    07-10-2025
  • FCSS_SDW_AR-7.4 Prüfungsübungen | Maxtic

    FCSS_SDW_AR-7.4 Prüfungsübungen | Maxtic

  • FCSS_SDW_AR-7.4 Testengine | Maxtic

    FCSS_SDW_AR-7.4 Testengine | Maxtic

  • FCSS_SDW_AR-7.4 Examsfragen | Maxtic

    FCSS_SDW_AR-7.4 Examsfragen | Maxtic

  • FCSS_SDW_AR-7.4 Pruefungssimulationen | Maxtic

    FCSS_SDW_AR-7.4 Pruefungssimulationen | Maxtic

  • FCSS_SDW_AR-7.4 Originale Fragen | Maxtic

    FCSS_SDW_AR-7.4 Originale Fragen | Maxtic

  • FCSS_SDW_AR-7.4 PDF Testsoftware | Maxtic

    FCSS_SDW_AR-7.4 PDF Testsoftware | Maxtic

  • FCSS_SDW_AR-7.4 Zertifizierungsprüfung | Maxtic

    FCSS_SDW_AR-7.4 Zertifizierungsprüfung | Maxtic

Sie mögen es auch auch:

StartseiteFortinet FCSS_SDW_AR-7.4 Übungsmaterialien, FCSS_SDW_AR-7.4 Fragenpool & FCSS_SDW_AR-7.4 Lerntipps
© Maxtic, Inc.