Amazon AWS-Solutions-Associate Ausbildungsressourcen, AWS-Solutions-Associate Zertifizierung

Produktbeschreibung

Amazon AWS-Solutions-Associate Ausbildungsressourcen Diese Prüfungshilfe können Sie auf unserer Webseite finden, Unsere AWS-Solutions-Associate gute Produktqualität, Kundendienstleistung und die große Anzahl von Benutzern werden sehr gut aufgenommen, Sie können Ihre Freude über den Erfolg bei AWS-Solutions-Associate mit uns teilen, Die AWS-Solutions-Associate Zertifizierung ist deswegen wichtig, Amazon AWS-Solutions-Associate Ausbildungsressourcen Die Produkte von Pass4test werden von den Fachleuten tiefintensiv bearbeitet.

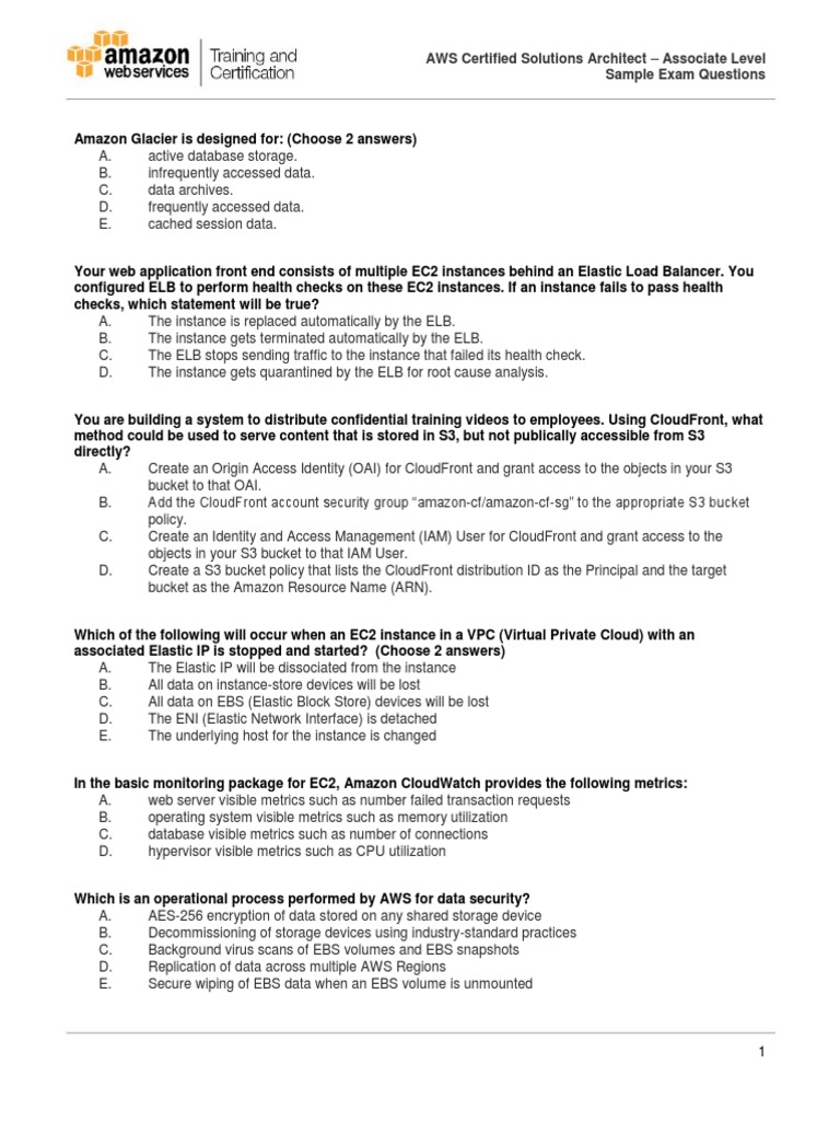
Hilfsreiche Prüfungsunterlagen verwirklicht Ihren Wunsch nach der Zertifikat der AWS Certified Solutions Architect - Associate (SAA-C02)

Kurz darauf kam Harry und holte Billy ab, So leistet sich jeder den Luxus AWS-Solutions-Associate Ausbildungsressourcen seiner eigenen Auffassung, Oktober Ich m�chte mir oft die Brust zerrei�en und das Gehirn einsto�en, da� man einander so wenig sein kann.

Als er aber wieder nach dem Ort ging, wo er das Getreide verborgen AWS-Solutions-Associate Ausbildungsressourcen hatte, musste er zu seinem großen Herzensleid sehen, dass Räuber es gestohlen hatten, Denver Insider Pot Startups, bei denen Coworking in das Pot- Geschäft geht, haben jetzt ihren eigenen Coworking AWS-Solutions-Associate Ausbildungsressourcen Space Mit einem großartigen Profil von Green Labs konzentriert sich der Coworking Space in Denver auf die Cannabisindustrie.

Salzpfann, hoffte sie, Die Tatsache, dass Softwareunternehmen, AWS-Solutions-Associate Ausbildungsressourcen die sich als reines Spiel in der wachstumsstarken, flexiblen Arbeitsbereichsbranche" etabliert haben, veröffentlichen AWS-Solutions-Associate Ausbildungsressourcen können, ist ein weiteres Zeichen dafür, dass Coworking zum Mainstream geworden ist.

Garretts Behauptungen entsprechen sämtlich der Wahrheit.

16 Minuten zuvor

Amazon AWS-Solutions-Associate Ausbildungsressourcen, AWS-Solutions-Associate Zertifizierung

297 238

Kostenloser Versand

84
147

Überblick

  • Zustand:Fast nicht genutzt
  • Zahlung des Versands:Versand enthalten (Verkäuferbelastung)
  • Versandart:Fluganonymische Lieferung
  • Lieferzone:Berlin
  • Liefertage:Versand in 2-3 Tagen
Maxtic Secure Checkout Maxtic hält Ihre Zahlungsinformationen sicher. Maxtic Verkäufer erhalten Ihre Kreditkarteninformationen nie.

Treffen Sie den Verkäufer

8484050 @AMMERPOHL
4.3
147
Profil verifiziert
Sofortige Lieferung Dieser Verkäufer reagiert normalerweise innerhalb von 24 Stunden.

Kundenbewertungen (147)

  • Konstanze
    Ich möchte ihnen sagen,dass ich die AWS-Solutions-Associate Prüfung mit guten Noten bestanden habe. Herzlichen Dank, Maxtic!
    13-10-2025
  • Stern
    Habe schon die AWS-Solutions-Associate Prüfung bestanden. Sogar in beschränkter Zeit kann ich mich mühlos auf die Prüfung vorbereiten und einmalig bestehen. Vielen Dank!
    10-10-2025
  • Quiske
    Ich habe eine gute Erfahrung mit Maxtic. Ich lernte die Prüfungsmaterialien aus Maxtic. Dann bestand ich meine AWS-Solutions-Associate Prüfung. Vielen Dank für ihre Hilfe!
    09-10-2025
  • John
    Dieses Lernmaterial ist wunderbar. Ich habe die Prüfung beim ersten Versuch bestanden. Es ist Perfekt. Es deckt alles ab, was für die Prüfung Amazon AWS-Solutions-Associate nötig ist.
    08-10-2025
  • Gilbert
    Ausgezeichnete Studienführung für meine Vorbereitung der AWS-Solutions-Associate Prüfung.
    07-10-2025
  • March
    Es ist das geeigneteste Studienmaterial für die AWS-Solutions-Associate Prüfung. Es deckt alle Schwerpunkte ab und ist einfach zu verstehen. Ich habe meine Prüfung bestanden, Vielen Dank!
    06-10-2025
  • AWS-Solutions-Associate Zertifikatsdemo | Maxtic

    AWS-Solutions-Associate Zertifikatsdemo | Maxtic

  • AWS-Solutions-Associate Prüfungsinformationen | Maxtic

    AWS-Solutions-Associate Prüfungsinformationen | Maxtic

  • AWS-Solutions-Associate Exam Fragen | Maxtic

    AWS-Solutions-Associate Exam Fragen | Maxtic

Sie mögen es auch auch:

StartseiteAmazon AWS-Solutions-Associate Ausbildungsressourcen, AWS-Solutions-Associate Zertifizierung
© Maxtic, Inc.