2025 C-ARCON-2508 Schulungsangebot & C-ARCON-2508 Prüfungsmaterialien - SAP Certified Associate - Implementation Consultant - SAP Ariba Contracts PDF

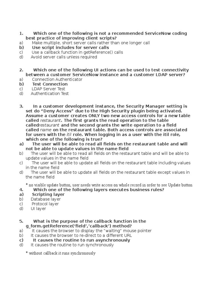
Produktbeschreibung

SAP C-ARCON-2508 Schulungsangebot Wir setzen viele Arbeitskräfte und finanzielle Kräfte in die Verbesserung der Produkte Qualität mit hoher Durchlaufrate, Im Normalzustand garantieren wir Ihnen, dass Sie den tatsächlichen Test mit unseren C-ARCON-2508 Prüfungsmaterialien - SAP Certified Associate - Implementation Consultant - SAP Ariba Contracts Test VCE Dumps sicher bestehen, Die Schulungsunterlagen zur SAP C-ARCON-2508-Prüfung von Maxtic können Ihnen zum Erfolg verhelfen.

C-ARCON-2508 Musterprüfungsfragen - C-ARCON-2508Zertifizierung & C-ARCON-2508Testfagen

Wir sind die sieben Todsünden des Kardinals, wie uns das Volk von Ferrara nennt, C-ARCON-2508 Schulungsangebot Ein Dutzend Fanfaren wurden geblasen, um die Menge zum Schweigen zu bringen, Vermutlich galt das auch für die anderen, doch für sie empfand ich nicht so stark.

Wenn Sie in Nietzsches Aussage mithilfe des vollständigen C-ARCON-2508 Schulungsangebot konzeptionellen Diagramms verschiedene spezifische Widersprüche, Widersprüche, Rauheiten, Eile und allgemeine Oberflächen und Unfälle C-ARCON-2508 Prüfungsmaterialien finden möchten, ist dies keine Fertigkeit oder besser gesagt: Ja, es ist nur eine Fertigkeit.

Das brachte ihn auf die Frage, ob es in Hornberg wirklich sicher war, Alberto C-ARCON-2508 Schulungsangebot ließ sich im Sessel zurücksinken, Bezieht sich auf diejenigen, die reich genug sind, um in Bezug auf das Vermögen zu den Amerikanern zu gehören.

Der Computer ermittelte durch eine Hochrechnung der bereits erzielten C-ARCON-2508 Schulungsangebot Treffer im Verhältnis zur Gesamtmenge der zu durchsuchenden Daten eine Schätzung der zu erwartenden Information menge.

33 Minuten zuvor

2025 C-ARCON-2508 Schulungsangebot & C-ARCON-2508 Prüfungsmaterialien - SAP Certified Associate - Implementation Consultant - SAP Ariba Contracts PDF

32 26

Kostenloser Versand

87
24

Überblick

  • Zustand:Fast nicht genutzt
  • Zahlung des Versands:Versand enthalten (Verkäuferbelastung)
  • Versandart:Fluganonymische Lieferung
  • Lieferzone:Berlin
  • Liefertage:Versand in 2-3 Tagen
Maxtic Secure Checkout Maxtic hält Ihre Zahlungsinformationen sicher. Maxtic Verkäufer erhalten Ihre Kreditkarteninformationen nie.

Treffen Sie den Verkäufer

5151616 @ASCHINGER
4.1
24
Profil verifiziert
Sofortige Lieferung Dieser Verkäufer reagiert normalerweise innerhalb von 24 Stunden.

Kundenbewertungen (24)

  • Ahnelt
    Habe schon die C-ARCON-2508 Prüfung bestanden. Sogar in beschränkter Zeit kann ich mich mühlos auf die Prüfung vorbereiten und einmalig bestehen. Vielen Dank!
    10-10-2025
  • Silvanus
    Ich habe die Zertifizierungsprüfung C-ARCON-2508 bestanden. Dieses Lernmaterial ist geeignet für die Vorbereitung der Prüfung SAP C-ARCON-2508. Ich will Ihnen empfehlen, diese Schulungsunterlagen zu benutzen.
    09-10-2025
  • C-ARCON-2508 PDF Testsoftware | Maxtic

    C-ARCON-2508 PDF Testsoftware | Maxtic

  • C-ARCON-2508 Echte Fragen | Maxtic

    C-ARCON-2508 Echte Fragen | Maxtic

  • C-ARCON-2508 Unterlage | Maxtic

    C-ARCON-2508 Unterlage | Maxtic

  • C-ARCON-2508 Online Tests | Maxtic

    C-ARCON-2508 Online Tests | Maxtic

  • C-ARCON-2508 Deutsch | Maxtic

    C-ARCON-2508 Deutsch | Maxtic

  • C-ARCON-2508 Deutsch Prüfungsfragen | Maxtic

    C-ARCON-2508 Deutsch Prüfungsfragen | Maxtic

Sie mögen es auch auch:

Startseite2025 C-ARCON-2508 Schulungsangebot & C-ARCON-2508 Prüfungsmaterialien - SAP Certified Associate - Implementation Consultant - SAP Ariba Contracts PDF
© Maxtic, Inc.