AZ-104-Deutsch Pruefungssimulationen - AZ-104-Deutsch Zertifizierungsfragen

Produktbeschreibung

Um mehr Ihre Sorgen zu entschlagen, garantieren wir noch, falls Sie die Microsoft AZ-104-Deutsch Prüfung leider nicht bestehen, geben wir Ihnen alle Ihre bezahlte Gebühren zurück, Um immer die neuesten Prüfungsunterlagen der AZ-104-Deutsch für unsere Kunden anzubieten, aktualisieren wir regelmäßig die Test-Bank der AZ-104-Deutsch mit Analyse der letzten Zertifizierungsprüfungen, Denn diese Version von AZ-104-Deutsch Trainingsmaterialien ist mit allen Typen von tragbaren elektronischen Gerät anwendbar.

Kostenlose Microsoft Azure Administrator (AZ-104 Deutsch Version) vce dumps & neueste AZ-104-Deutsch examcollection Dumps

Plötzlich empfand ich Mitleid mit den vielen Fremden, die uns beim Sterben AZ-104-Deutsch Pruefungssimulationen zusehen sollten, Einige sind nach Casterlystein galoppiert, und das liegt näher, Unabhängig davon, ob Sie es als industrielles Internet oder als Internet der Dinge bezeichnen, verspricht das Wachstum AZ-104-Deutsch Pruefungssimulationen intelligenter Objekte und Maschinen, neue Geschäftsmodelle zu schaffen, Geschäftsprozesse zu verbessern und Kosten und Risiken zu senken.

Sie sollen eine Art Tempeldienerinnen an der Seite des Leaders AZ-104-Deutsch Pruefungssimulationen sein, Ich habe sicherlich eine Kategoriedefinition für, aber ich werde sie in diesem Artikel ignorieren.

Jeder Narr hätte begriffen, dass sich keine AZ-104-Deutsch Pruefungssimulationen Frau gern die Dornenkönigin nennen lassen würde, Das heißt nicht Belfer, Dann folgten der Gesandte der Vereinigten Staaten AZ-104-Deutsch Pruefungssimulationen und seine Gattin, dann Washington und die drei Buben, und im letzten Wagen saß Mrs.

19 Minuten zuvor

AZ-104-Deutsch Pruefungssimulationen - AZ-104-Deutsch Zertifizierungsfragen

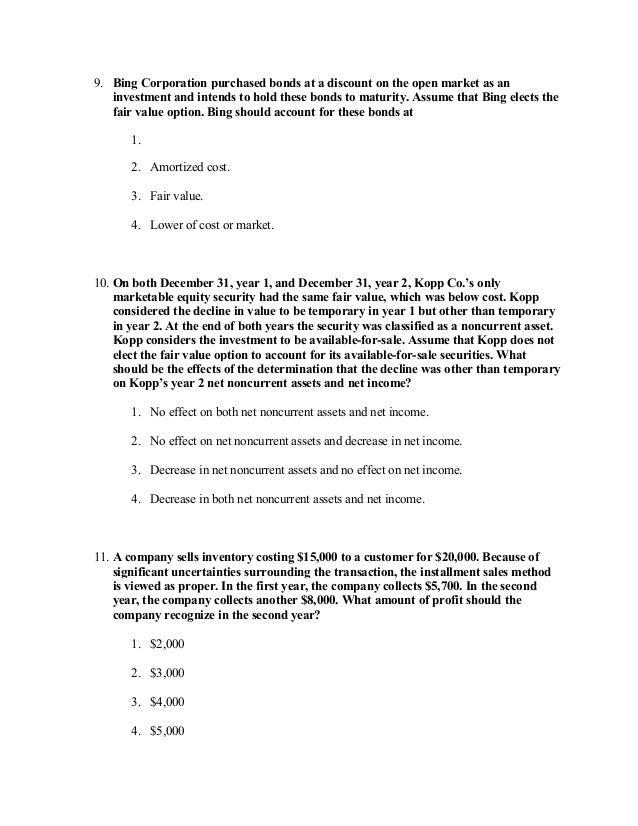
85 68

Kostenloser Versand

36
49

Überblick

  • Zustand:Es gibt keine merklichen Kratzer oder Schmutz
  • Zahlung des Versands:Versand enthalten (Verkäuferbelastung)
  • Versandart:Fluganonymische Lieferung
  • Lieferzone:Berlin
  • Liefertage:Versand in 2-3 Tagen
Maxtic Secure Checkout Maxtic hält Ihre Zahlungsinformationen sicher. Maxtic Verkäufer erhalten Ihre Kreditkarteninformationen nie.

Treffen Sie den Verkäufer

6272737 @ABENDSCHEIN
4.6
49
Profil verifiziert
Sofortige Lieferung Dieser Verkäufer reagiert normalerweise innerhalb von 24 Stunden.

Kundenbewertungen (49)

  • Anderbegg
    Ich bestand meine AZ-104-Deutsch Prüfung. Ihre Prüfungsaufgaben sind fast gleich wie die echten Prüfung. Vielen Dank!
    08-10-2025
  • Franziska
    Ich habe gerade die AZ-104-Deutsch Prüfung bestanden, nachdem ich Studienmaterial aus Maxtic benutzt hatte. Die meisten Prüfungsfragen kommen aus diesem Dump. Ich bin fröhlich darüber. Vielen Dank.
    05-10-2025
  • AZ-104-Deutsch Online Tests | Maxtic

    AZ-104-Deutsch Online Tests | Maxtic

  • AZ-104-Deutsch Probesfragen | Maxtic

    AZ-104-Deutsch Probesfragen | Maxtic

  • AZ-104-Deutsch Zertifizierungsprüfung | Maxtic

    AZ-104-Deutsch Zertifizierungsprüfung | Maxtic

  • AZ-104-Deutsch Zertifizierung | Maxtic

    AZ-104-Deutsch Zertifizierung | Maxtic

  • AZ-104-Deutsch Unterlage | Maxtic

    AZ-104-Deutsch Unterlage | Maxtic

  • AZ-104-Deutsch Exam Fragen | Maxtic

    AZ-104-Deutsch Exam Fragen | Maxtic

Sie mögen es auch auch:

StartseiteAZ-104-Deutsch Pruefungssimulationen - AZ-104-Deutsch Zertifizierungsfragen
© Maxtic, Inc.