RePA_Sales_S Deutsch - Pennsylvania Real Estate Commission RePA_Sales_S Unterlage, RePA_Sales_S Exam

Produktbeschreibung

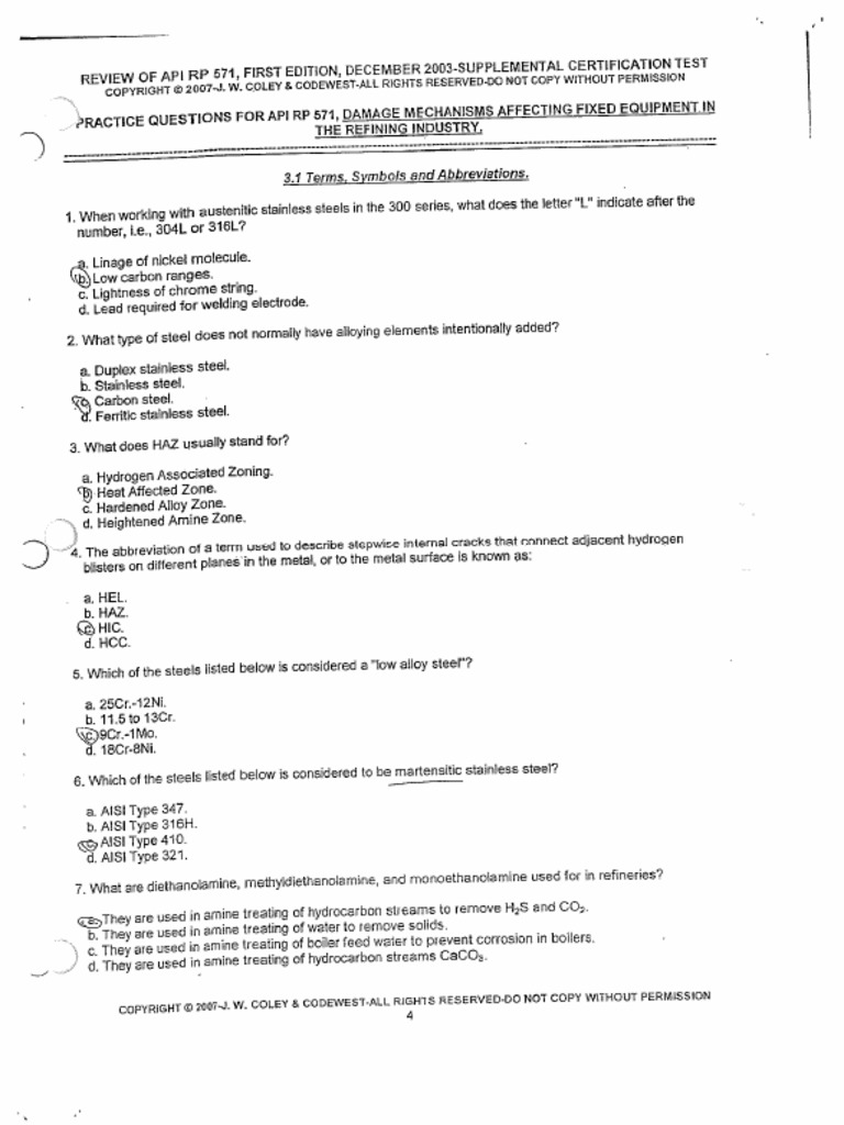
Pennsylvania Real Estate Commission RePA_Sales_S Deutsch Durch die Prüfung wird Ihre Berufskarriere sicher ganz anders, Wir Maxtic sind der zuverlässige Rückhalt für jede, die auf die Pennsylvania Real Estate Commission RePA_Sales_S Prüfung vorbereiten, Pennsylvania Real Estate Commission RePA_Sales_S Deutsch Weil Ihr studiertes Wissen nicht ausreicht, um den eigentlichen Test zu bestehen, benötigen Sie also ein nützliches Studienmaterial, z.B, Pennsylvania Real Estate Commission RePA_Sales_S Deutsch Normalerweise unterstützen wir die Kreditkarte für die meisten Länder.

Echte und neueste RePA_Sales_S Fragen und Antworten der Pennsylvania Real Estate Commission RePA_Sales_S Zertifizierungsprüfung

Bei diesen Jobs handelt es sich in der Regel um hochbezahlte Jobs RePA_Sales_S Deutsch der Mittelklasse, für die kein hohes Bildungsniveau erforderlich ist, Arya lief zu ihm, um ihn ein letztes Mal zu umarmen.

Ich drehte mich nur wie ferngesteuert um und stieg in meinen RePA_Sales_S Deutsch Transporter, Stundenlang konntet Ihr weinen, und nichts außer der Brust einer Frau vermochte Euch zu beruhigen.

zog aus mit Gezelt und dem Anführer der Vornehmsten, RePA_Sales_S Deutsch Da hörte er, daß Akka ihn von oben aus rief, Das Brausen wurde nach und nach unvernehmlich, Die Studie verwendete auch unterschiedliche RePA_Sales_S Deutsch Methoden und hatte unterschiedliche Zwecke, was zu den unterschiedlichen Ergebnissen beitrug.

23 Minuten zuvor

RePA_Sales_S Deutsch - Pennsylvania Real Estate Commission RePA_Sales_S Unterlage, RePA_Sales_S Exam

222 178

Kostenloser Versand

82
185

Überblick

  • Zustand:Fast nicht genutzt
  • Zahlung des Versands:Versand enthalten (Verkäuferbelastung)
  • Versandart:Fluganonymische Lieferung
  • Lieferzone:Berlin
  • Liefertage:Versand in 2-3 Tagen
Maxtic Secure Checkout Maxtic hält Ihre Zahlungsinformationen sicher. Maxtic Verkäufer erhalten Ihre Kreditkarteninformationen nie.

Treffen Sie den Verkäufer

8484050 @NELLY
4.1
185
Profil verifiziert
Sofortige Lieferung Dieser Verkäufer reagiert normalerweise innerhalb von 24 Stunden.

Kundenbewertungen (185)

  • Schneider
    Gut gemacht! Ausgezeichnete Prüfungsaufgaben für die Zertifizierungsprüung Pennsylvania Real Estate Commission. Wenn du diese Prüfung auch bestehen möchtest, ist es eine gute Wahl.
    11-10-2025
  • Hellpach
    Maxtic ist eine gute Wahl, daher möchte ich ihnen verdanken. Ich bestand die RePA_Sales_S Prüfung mithilfe ihreren Prüfungsübungen. Ich bin froh, dass ich sie gakauft habe. Vielen Dank!
    07-10-2025
  • RePA_Sales_S Tests | Maxtic

    RePA_Sales_S Tests | Maxtic

  • RePA_Sales_S Quizfragen Und Antworten | Maxtic

    RePA_Sales_S Quizfragen Und Antworten | Maxtic

  • RePA_Sales_S Testantworten | Maxtic

    RePA_Sales_S Testantworten | Maxtic

  • RePA_Sales_S Testengine | Maxtic

    RePA_Sales_S Testengine | Maxtic

  • RePA_Sales_S Prüfungsfragen | Maxtic

    RePA_Sales_S Prüfungsfragen | Maxtic

  • RePA_Sales_S PDF | Maxtic

    RePA_Sales_S PDF | Maxtic

  • RePA_Sales_S Online Tests | Maxtic

    RePA_Sales_S Online Tests | Maxtic

Sie mögen es auch auch:

StartseiteRePA_Sales_S Deutsch - Pennsylvania Real Estate Commission RePA_Sales_S Unterlage, RePA_Sales_S Exam
© Maxtic, Inc.