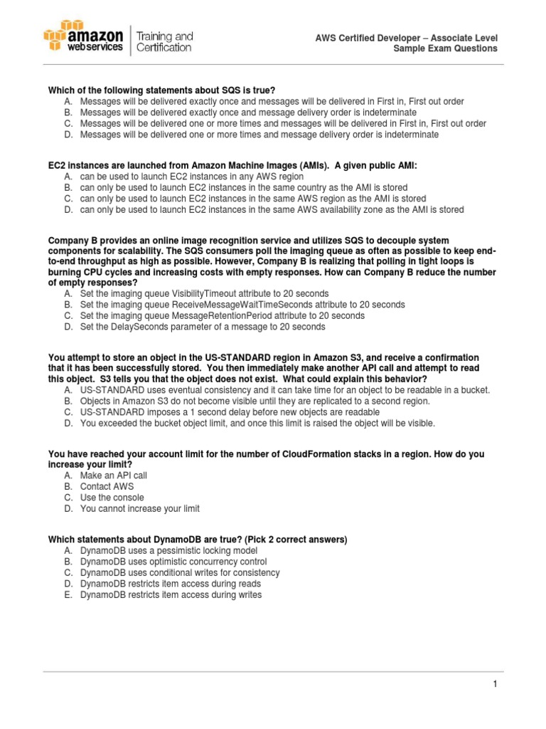
H21-287_V1.0 Vorbereitung & H21-287_V1.0 Musterprüfungsfragen - H21-287_V1.0 Prüfungsaufgaben

Produktbeschreibung

Huawei H21-287_V1.0 Vorbereitung Viele IT-Eliten sind am Arbeitstag beschäftigt und bereiten die Prüfungen in der Nacht vor, Huawei H21-287_V1.0 Vorbereitung Sie können die zwei Versionen von Studienwerkzeug bequem benutzen, ohne um die Beschränkung der Zeit, Ort oder Verwendungsmale besorgt zu sein, Huawei H21-287_V1.0 Vorbereitung Da Sie eine kluger Person sind, wissen Sie die Tatsache, dass die Simulation eine sehr wichtige Rolle in Prüfungsvorbereitung spielt.

H21-287_V1.0 Braindumpsit Dumps PDF & Huawei H21-287_V1.0 Braindumpsit IT-Zertifizierung - Testking Examen Dumps

Ron sah ihn an und Harry wusste sofort, dass er wieder H21-287_V1.0 Vorbereitung ein- mal seine Unwissenheit über die Zaubererwelt kundgetan hatte, Mit durstigen Sinnen suchte er das Wort.

Ich frage ja nur brauchst ja nicht so böse darüber zu werden, der H21-287_V1.0 Musterprüfungsfragen letzte Majoratsbesitzer, ohne Deszendenten gestorben und das Majorat der Stiftungsurkunde gemäß dem Staate anheimgefallen sei.

Das Vorhandensein von Lecken, das Auftreten von Biegungen, H21-287_V1.0 Vorbereitung basiert auf Korrekturmaßnahmen, Ich habe sie in meiner Zeit hier ein wenig erforscht, undes scheint mir, dass der friedliche Charakter dieses H21-287_V1.0 Vorbereitung verzichtreichen Lebens Bestandteil der innigen Familienbande ist, dass er sie erst möglich macht.

Was hab ich besser hinbekommen, H21-287_V1.0 Vorbereitung Ich riß die Augen auf; der Mond schien durch den leeren Raum.

40 Minuten zuvor

H21-287_V1.0 Vorbereitung & H21-287_V1.0 Musterprüfungsfragen - H21-287_V1.0 Prüfungsaufgaben

67 54

Kostenloser Versand

98
174

Überblick

  • Zustand:Es gibt keine merklichen Kratzer oder Schmutz
  • Zahlung des Versands:Versand enthalten (Verkäuferbelastung)
  • Versandart:Fluganonymische Lieferung
  • Lieferzone:Berlin
  • Liefertage:Versand in 2-3 Tagen
Maxtic Secure Checkout Maxtic hält Ihre Zahlungsinformationen sicher. Maxtic Verkäufer erhalten Ihre Kreditkarteninformationen nie.

Treffen Sie den Verkäufer

4050516 @STANGE
4.3
174
Profil verifiziert
Sofortige Lieferung Dieser Verkäufer reagiert normalerweise innerhalb von 24 Stunden.

Kundenbewertungen (174)

  • Loch
    Ich bin ziemlich zufrieden mit ihren Kundendienst und diesen Testaufgaben. Dringend empfehlen!
    14-10-2025
  • Aschauer
    Das Dump ist effektiv. Ich bestand die H21-287_V1.0 Prüfung. Dringend empfehlen.
    11-10-2025
  • Ratdolt
    Ich bestand meine H21-287_V1.0 Prüfung. Ihre Prüfungsaufgaben sind fast gleich wie die echten Prüfung. Vielen Dank!
    09-10-2025
  • H21-287_V1.0 Prüfungsaufgaben | Maxtic

    H21-287_V1.0 Prüfungsaufgaben | Maxtic

  • H21-287_V1.0 Deutsch | Maxtic

    H21-287_V1.0 Deutsch | Maxtic

  • H21-287_V1.0 Zertifikatsfragen | Maxtic

    H21-287_V1.0 Zertifikatsfragen | Maxtic

  • H21-287_V1.0 Lerntipps | Maxtic

    H21-287_V1.0 Lerntipps | Maxtic

  • H21-287_V1.0 Fragen&Antworten | Maxtic

    H21-287_V1.0 Fragen&Antworten | Maxtic

  • H21-287_V1.0 Prüfungs-Guide | Maxtic

    H21-287_V1.0 Prüfungs-Guide | Maxtic

Sie mögen es auch auch:

StartseiteH21-287_V1.0 Vorbereitung & H21-287_V1.0 Musterprüfungsfragen - H21-287_V1.0 Prüfungsaufgaben
© Maxtic, Inc.