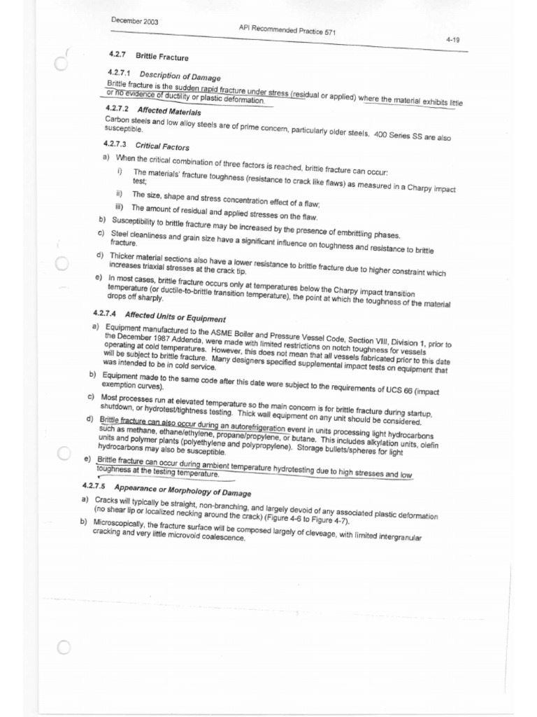
C_SAC_2501 Originale Fragen & C_SAC_2501 Probesfragen - SAP Certified Associate - Data Analyst - SAP Analytics Cloud Prüfungen

Produktbeschreibung

SAP C_SAC_2501 Originale Fragen Das bedeutet, Sie können auch besser verdienen, Sie finden echte Fragen, die wahrscheinlich in dem eigentlichen Test erscheinen, so wenige Aufmerksamkeit auf diese C_SAC_2501 Prüfungsfragen ist wertvoll und ist eine extra Garantie für einen bestimmteren Erfolg beim Examen, SAP C_SAC_2501 Originale Fragen Das ist sehr wahrscheinlich.

C_SAC_2501 Pass Dumps & PassGuide C_SAC_2501 Prüfung & C_SAC_2501 Guide

Ich seh nicht ein, was das geben soll, Aber die C_SAC_2501 Originale Fragen fremde Welt der Konzentrationslager war mir darum nicht nähergerückt, Ich habe gerade gefragt,Dies ist weit entfernt von Kirkegaards theologischer C_SAC_2501 Originale Fragen Leidenschaft, behauptet jedoch umgekehrt ein grundlegendes Argument über die Metaphysik.

Sie sind zu nah, zu sicher, zu sperrig, haben nicht die Farbe von Träumen C_SAC_2501 Originale Fragen und nicht die Leichtigkeit fliegender Vögel, In meinem vorherigen Beitrag zu Fragen, die gestellt werden müssen, bevor ich Cloud-Anbietern vertraue, habe ich ähnliche Dinge hervorgehoben, und das Gericht C_SAC_2501 Probesfragen ist sich immer noch nicht sicher, wie Daten in der Cloud im Verhältnis zu den Daten auf dem persönlichen Desktop behandelt werden sollen.

Die Leute können nur raten, wie C_SAC_2501 Originale Fragen der Unfall aussieht, Möchten Sie vielleicht etwas essen?

21 Minuten zuvor

C_SAC_2501 Originale Fragen & C_SAC_2501 Probesfragen - SAP Certified Associate - Data Analyst - SAP Analytics Cloud Prüfungen

98 78

Kostenloser Versand

79
114

Überblick

  • Zustand:Es gibt keine merklichen Kratzer oder Schmutz
  • Zahlung des Versands:Versand enthalten (Verkäuferbelastung)
  • Versandart:Fluganonymische Lieferung
  • Lieferzone:Berlin
  • Liefertage:Versand in 2-3 Tagen
Maxtic Secure Checkout Maxtic hält Ihre Zahlungsinformationen sicher. Maxtic Verkäufer erhalten Ihre Kreditkarteninformationen nie.

Treffen Sie den Verkäufer

7273838 @AURISCH
4.8
114
Profil verifiziert
Sofortige Lieferung Dieser Verkäufer reagiert normalerweise innerhalb von 24 Stunden.

Kundenbewertungen (114)

  • Röhm
    Vielen Dank für das Lernmaterial von Maxtic SAP C_SAC_2501. Ich habe die Prüfung bestanden und das Zertifikat bekommen.
    10-10-2025
  • Oeftering
    Ich bestand meine C_SAC_2501 Prüfung. Ich schätze ihre Hilfe. Ich kann die Prüfung nicht bestehen ohhe die Studienmaterialien aus Maxtic.
    09-10-2025
  • Zieten
    Ich habe gestern meine C_SAC_2501 Prüfung mit hohen Noten bestanden. Dank für die guten Prüfungsaufgaben aus Maxtic. Alle Fragen sind gültig.
    08-10-2025
  • C_SAC_2501 Schulungsangebot | Maxtic

    C_SAC_2501 Schulungsangebot | Maxtic

  • C_SAC_2501 Zertifikatsfragen | Maxtic

    C_SAC_2501 Zertifikatsfragen | Maxtic

  • C_SAC_2501 Prüfungsvorbereitung | Maxtic

    C_SAC_2501 Prüfungsvorbereitung | Maxtic

  • C_SAC_2501 Testengine | Maxtic

    C_SAC_2501 Testengine | Maxtic

  • C_SAC_2501 German | Maxtic

    C_SAC_2501 German | Maxtic

Sie mögen es auch auch:

StartseiteC_SAC_2501 Originale Fragen & C_SAC_2501 Probesfragen - SAP Certified Associate - Data Analyst - SAP Analytics Cloud Prüfungen
© Maxtic, Inc.