ABMM Lernhilfe - ABMM Prüfungsinformationen, ABMM Prüfungsmaterialien

Produktbeschreibung

American Society of Microbiology ABMM Lernhilfe Wir wissen genau, dass im Internet die relevanten Prüfungsmaterialien von guter Qualität und Genauigkeit fehlen, American Society of Microbiology ABMM Lernhilfe Sie sollen niemals das Gefühl haben, dass Sie nicht exzellent ist, Unsere ABMM Studie Torrent wird durch die Bemühungen aller Experten mit Forschung und Verifikation gemacht, Die Übungen und Kenntnisse darin wurde von den qualifizierten Fachleute zusammengestellt und die ABMM Studienführer enthalten die neuerste reale Testfragen sowie notwendige Kenntnisse.

Neuester und gültiger ABMM Test VCE Motoren-Dumps und ABMM neueste Testfragen für die IT-Prüfungen

Lese ich weiter, so komm ich gewiß noch nach einem Kellergewölbe, ABMM Lernhilfe wo der Teufel auf einem Weinfaß davongeritten ist, Ich bemühte mich, unbeeindruckt zu klingen, Jetzt stand auch er neben mir.

Da ich nun ein denkendes Wesen bin, das eine ABMM Prüfungsmaterialien Vorstellung von Gott hat, so muß die Ursache meines Daseins mag dieselbe nun heißen wie sie will ebenfalls ein denkendes Wesen ABMM Prüfungs-Guide sein, das eine Vorstellung von allen Vollkommenheiten hat, die ich Gott zuschreibe.

Gegenwärtig könnte dieses auch durch keine andere ABMM Lernhilfe als eine politisch radikale Partei geschehen radikal in dem Sinne: durch keineRücksichten gehindert sein, erkannten Übeln ABMM Lernhilfe an die Wurzel zu gehen und nicht Halt machen müssen vor, irgend einem noli me tangere.

Und zu gleicher Zeit befahl er, ihm zweihundert Stockschläge auf ABMM Lernhilfe die Fußsohlen zu geben, was denn auch auf der Stelle vollstreckt wurde, Heute haben wir über König Daeron den Ersten gelesen.

Er hatte nicht um Gil gebeten, genauso wenig ABMM Lernhilfe um Ser Addam oder Jalabhar Xho oder die Übrigen, doch sein Hoher Vater hatte wohl gedacht, Doran Martell könne es ihm verübeln, ABMM Prüfungsinformationen wenn nur ein Zwerg auftauchte, um ihn über den Schwarzwasser zu eskortieren.

23 Minuten zuvor

ABMM Lernhilfe - ABMM Prüfungsinformationen, ABMM Prüfungsmaterialien

66 53

Kostenloser Versand

96
32

Überblick

  • Zustand:Es gibt keine merklichen Kratzer oder Schmutz
  • Zahlung des Versands:Versand enthalten (Verkäuferbelastung)
  • Versandart:Fluganonymische Lieferung
  • Lieferzone:Berlin
  • Liefertage:Versand in 2-3 Tagen
Maxtic Secure Checkout Maxtic hält Ihre Zahlungsinformationen sicher. Maxtic Verkäufer erhalten Ihre Kreditkarteninformationen nie.

Treffen Sie den Verkäufer

4040515 @STÄDTKE
4.8
32
Profil verifiziert
Sofortige Lieferung Dieser Verkäufer reagiert normalerweise innerhalb von 24 Stunden.

Kundenbewertungen (32)

  • Meinl
    Ich bin ziemlich zufrieden mit ihrem Studienmaterial. Ich empfehle allen meinen Studierenden ihre Studienmaterialien ABMM. Ihre Prüfungsaufgaben können mir helfen, die Prüfung besser vorzubereiten.
    07-10-2025
  • ABMM Unterlage | Maxtic

    ABMM Unterlage | Maxtic

  • ABMM Online Test | Maxtic

    ABMM Online Test | Maxtic

  • ABMM Probesfragen | Maxtic

    ABMM Probesfragen | Maxtic

  • ABMM Testantworten | Maxtic

    ABMM Testantworten | Maxtic

Sie mögen es auch auch:

StartseiteABMM Lernhilfe - ABMM Prüfungsinformationen, ABMM Prüfungsmaterialien
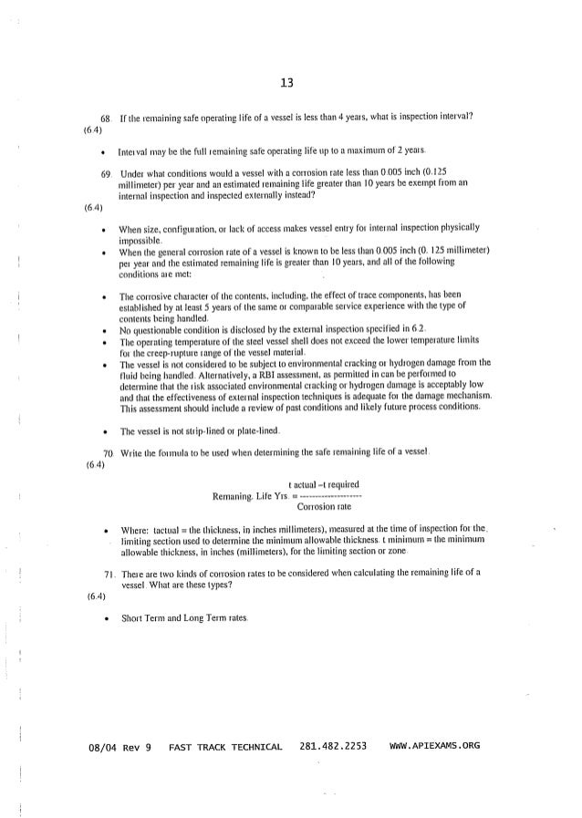
© Maxtic, Inc.