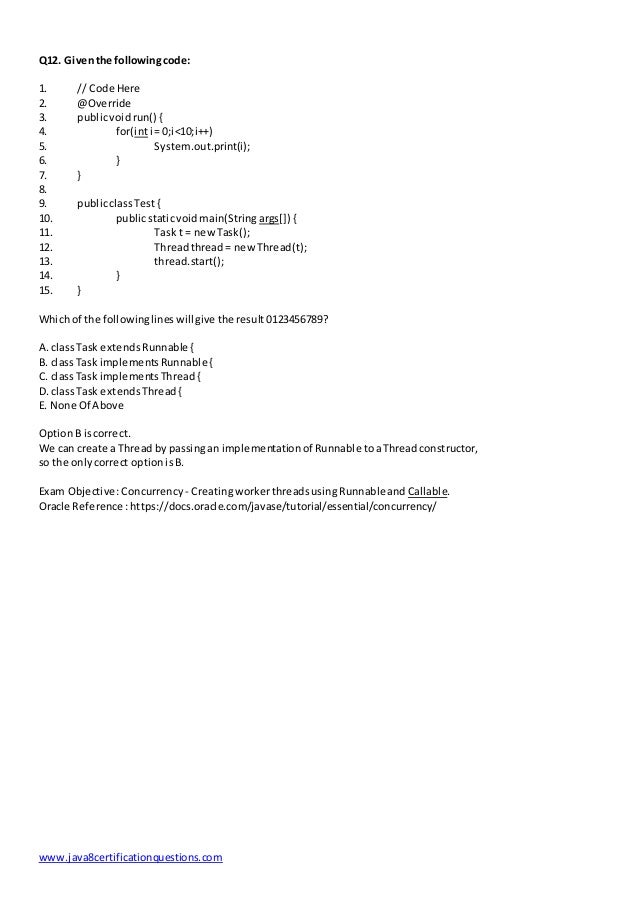
CFM인증덤프공부문제 - CFM시험대비덤프공부자료, CFM덤프데모문제다운

제품 설명

다른 덤프들과 같이IFMA인증 CFM덤프 적중율과 패스율은 100% 보장해드립니다, ITExamDump 에서 제공하는 CFM문제와 답으로 여러분은 한번에 성공적으로 시험을 패스할수 있습니다, IFMA CFM 인증덤프공부문제 놀라운 기적을 안겨드릴것입니다, CFM덤프는 착한 가격에 고품질을 지닌 최고,최신의 시험대비 공부자료입니다, 지금 사회에 능력자들은 아주 많습니다.it인재들도 더욱더 많아지고 있습니다.많은 it인사들은 모두 관연 it인증시험에 참가하여 자격증취득을 합니다.자기만의 자리를 확실히 지키고 더 높은 자리에 오르자면 필요한 스펙이니까요.CFM시험은IFMA인증의 중요한 시험이고 또 많은 it인사들은IFMA자격증을 취득하려고 노력하고 있습니다, IFMA CFM 인증덤프공부문제 경쟁이 치열한 IT업계에서 굳굳한 자신만의 자리를 찾으려면 국제적으로 인정받는 IT자격증 취득은 너무나도 필요합니다.

CFM 인증덤프공부문제 시험준비에 가장 좋은 시험기출문제

나도 수도에서 끝내야 하는 일이 있어서 곧 떠나야 해, 무슨 문제라도 있냐는 표정으로, CFM인증덤프공부문제형제의 입가에 묘한 미소가 동시에 걸렸다, 또다시 이 별은 물에 잠기게 되었다, 사귈 수 있겠냐, 라고, 경민의 빈정거림에 인화는 차분히 눈빛을 내리며 쓸쓸하게 말했다.

그런데 설마 이 자리에서 맹렬하게 활동하CFM인증덤프공부문제고 있었다니, 오묘한 미소를 입에 머금은 채, 사윤은 백록의 목을 잡아 쥐었다.

39 minutes before

CFM인증덤프공부문제 - CFM시험대비덤프공부자료, CFM덤프데모문제다운

$181 $145

무료 배송

54
182

제품 개요

  • Condition:New
  • 배송 지불 :배송 포함 (판매자 부담)
  • 배달 방법 :익명 배달
  • 배달 구역 :서울
  • 배달 일 :2-3 일 안에 배송되었습니다
Maxtic 보안 체크 아웃 Maxtic은 지불 정보를 안전하게 유지합니다. Maxtic 판매자는 신용 카드 정보를받지 않습니다.

판매자를 만나십시오

5051516 @RAIN
4.8
182
Profile verified
즉시 배달 이 판매자는 일반적으로 24 시간 이내에 응답합니다.

고객 리뷰 (182)

  • 막걸리엔 파전
    시험문제가 변경될가봐 걱정했는데 다행이도 덤프가 유효해서 시험 잘봤어요.
    Maxtic CFM덤프자료에 있는 문제만 퍼펙트하게 달달달 외우시면 패스는 문제없는듯해요.
    2025-10-15
  • 도너츠
    비싼 IFMA시험이라 불합격받으면 어쩌지 하며 긴장을 많이 했는데 붙어서 다행이네요.
    다음 자격증도 취득해야 하는데 CFM덤프자료 DC안될가요?
    2025-10-11
  • 아름드리
    CFM덤프에 없는 문제가 몇문제 나와서 촉이 가는대로 찍었는데 점수가 생각보다 잘 나왔어요. ^^
    며칠간 덤프 프린트해서 외우기만 했더니 머리가 뻑뻑한데 시험합격하여 빨리 잘수 있게 되어 너무 좋아요.
    2025-10-09
  • 폭탄주
    pdf파일 구매시 vce파일도 추가구매했는데 좋은 경험이었습니다.
    pdf파일 먼저 공부하고 vce파일로 시험보듯이 테스트하고……
    점수가 잘 나와서 감사합니다.
    2025-10-08
  • CFM최신시험후기 | Maxtic

    CFM최신시험후기 | Maxtic

  • CFM덤프 | Maxtic

    CFM덤프 | Maxtic

  • CFM퍼펙트 덤프데모 | Maxtic

    CFM퍼펙트 덤프데모 | Maxtic

  • CFM완벽한 덤프자료 | Maxtic

    CFM완벽한 덤프자료 | Maxtic

  • CFM최신 업데이트버전 덤프 | Maxtic

    CFM최신 업데이트버전 덤프 | Maxtic

  • CFM최신버전 시험덤프문제 | Maxtic

    CFM최신버전 시험덤프문제 | Maxtic

  • CFM자격증덤프 | Maxtic

    CFM자격증덤프 | Maxtic

  • CFM시험패스 가능 덤프 | Maxtic

    CFM시험패스 가능 덤프 | Maxtic

You may also like:

홈페이지CFM인증덤프공부문제 - CFM시험대비덤프공부자료, CFM덤프데모문제다운
© Maxtic, Inc.